L'hydroxyméthyl furfural
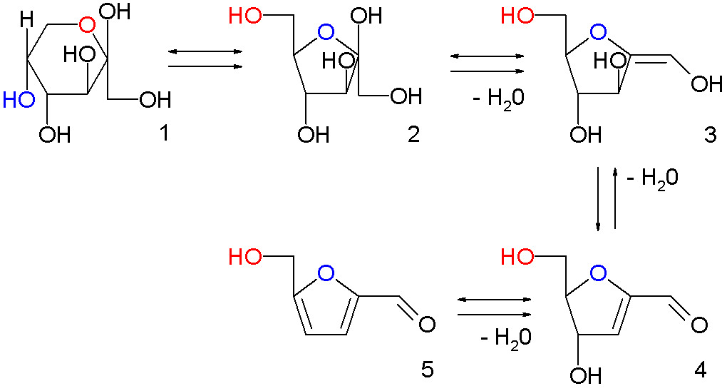
L'hydroxyméthyl furfural, initialement étudié par le chimiste français Louis-Camille Maillard, est un composé organique formé par la déshydratation de certains sucres. Cette molécule comprend un cycle furane auquel sont attachées à la fois une fonction aldéhyde et une fonction alcool. À l'état pur, l'HMF apparaît comme un solide jaune au point de fusion bas et il se dissout facilement dans l'eau. On retrouve l'HMF dans de nombreux aliments ayant subi un traitement thermique, tels que le lait, les jus de fruits, les spiritueux ou encore le miel. Par ailleurs, comme il peut être produit à partir de la cellulose sans fermentation, l'HMF représente une matière première potentiellement neutre en carbone pour la fabrication de carburants et de divers produits chimiques.
L'HMF se retrouve parfois en faible concentration dans le miel. En général, le miel frais contient des quantités très faibles d'HMF, souvent inférieures à 15 mg·kg-1, cette valeur variant selon le pH, la température et l'ancienneté du produit. Afin de s'assurer que le miel n'a pas subi de chauffage lors de son traitement, le Codex Alimentarius exige un taux d'HMF inférieur à 40 mg·kg-1 dans le miel commercialisé.
